Công thức đạo hàm là phần “xương sống” của giải tích vì chỉ cần nắm vững vài quy tắc cốt lõi, bạn đã có thể xử lý đa số bài toán từ cơ bản đến nâng cao. Dưới đây là bản tổng hợp theo mạch dễ học, kèm mẹo trình bày và kiểm tra nhanh để bạn hạn chế sai sót.
Công thức đạo hàm: Nền tảng trước khi vào bài tập
Hiểu đạo hàm theo trực giác và theo định nghĩa
Khi bắt đầu học, Công thức đạo hàm sẽ dễ “vào đầu” hơn nếu bạn liên hệ nó với tốc độ thay đổi của hàm số theo biến x. Ở mức định nghĩa, đạo hàm tại x0 là giới hạn của tỉ số (f(x0+h)−f(x0))/h khi h tiến về 0, nhờ đó ta đo được độ dốc tiếp tuyến của đồ thị tại điểm đó.
Trong thực hành, bạn thường gặp các ký hiệu f'(x), y’ hoặc dy/dx, nhưng bản chất vẫn là cùng một đại lượng biến thiên. Nếu đồ thị “gãy” hoặc có góc nhọn, giới hạn hai phía không trùng nhau thì đạo hàm có thể không tồn tại tại điểm đó. Ngược lại, với các hàm trơn, đạo hàm tồn tại và hỗ trợ xét tăng giảm, cực trị, tiếp tuyến một cách rất trực quan.
Quy tắc tuyến tính và đạo hàm của hàm đơn

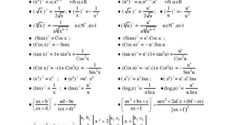
Nhóm Công thức đạo hàm xuất hiện nhiều nhất là tính tuyến tính: đạo hàm của tổng bằng tổng các đạo hàm, và có thể đưa hằng số ra ngoài. Cụ thể, (af(x)+bg(x))’ = a f'(x) + b g'(x), còn đạo hàm của hằng số luôn bằng 0. Nhờ quy tắc này, bạn tách được biểu thức phức tạp thành các phần nhỏ để xử lý gọn.
Với đa thức, bạn chỉ cần nhớ quy tắc lũy thừa (xn)’ = n x(n−1) và áp dụng lần lượt cho từng hạng. Công thức đạo hàm của ax+b vì thế cũng rất nhanh: (ax)’=a và (b)’=0 nên y’ chỉ còn lại a. Khi luyện đủ nhiều, bạn sẽ hình thành phản xạ nhận diện dạng bài mà không phải “nghĩ lại từ đầu”.
Quy tắc lũy thừa, tích và thương
Bộ ba quy tắc xử lý biểu thức đại số
Trong bài có nhiều phép nhân chia, Công thức đạo hàm quan trọng nhất là quy tắc tích và quy tắc thương, vì nhầm ở đây thường dẫn đến sai toàn bộ lời giải. Với u(x)v(x), ta có (uv)’ = u’v + uv’, nghĩa là phải đạo hàm từng phần rồi nhân với phần còn lại giữ nguyên. Với u(x)/v(x), ta có (u/v)’ = (u’v − uv’)/v^2, lưu ý dấu trừ ở tử và điều kiện v(x) ≠ 0 tại miền xét.
Khi biểu thức có căn hoặc lũy thừa mũ hữu tỉ, bạn nên viết lại dưới dạng lũy thừa để tính cho “sạch” trước khi rút gọn. Ví dụ, √x = x^(1/2) nên đạo hàm là (1/2)x^(−1/2), rồi có thể đổi về 1/(2√x) để trình bày đẹp. Công thức đạo hàm sẽ phát huy hiệu quả hơn nếu bạn ưu tiên chuẩn hóa biểu thức thay vì nhảy vào tính ngay.
Hàm hợp, đạo hàm ẩn và đổi biến

Quy tắc dây chuyền cho hàm hợp nhiều lớp
Với hàm hợp, Công thức đạo hàm bạn cần thuộc chắc là quy tắc dây chuyền: (f(g(x)))’ = f'(g(x))·g'(x). Bạn có thể hiểu đơn giản là đạo hàm lớp ngoài trước, giữ nguyên lớp trong, rồi nhân thêm đạo hàm của lớp trong. Quy tắc này xuất hiện dày đặc ở các dạng như (3x−1)5, sin(2x) hay ln(x2+1).
Để hạn chế nhầm, hãy tập thói quen đặt u = g(x) và viết y = f(u) trước khi đạo hàm, nhất là khi biểu thức có nhiều tầng ngoặc. Ví dụ, y = (1−2x)^7 thì y’ = 7(1−2x)^6·(−2), bạn sẽ thấy rõ hệ số phát sinh từ lớp trong. Thói quen đổi biến còn giúp lời giải mạch lạc, dễ chấm điểm và dễ tự soát lỗi.
Đạo hàm ẩn và hàm ngược khi x và y “dính” nhau
Khi gặp phương trình liên hệ giữa x và y như x2 + y2 = 1, bạn không thể tách y thành một biểu thức tường minh đơn giản, lúc đó Công thức đạo hàm cần dùng là đạo hàm ẩn. Bạn đạo hàm hai vế theo x, coi y là y(x), nên d(y^2)/dx = 2y·y’, rồi giải y’ từ phương trình nhận được. Mấu chốt nằm ở việc luôn “nhớ” nhân thêm y’ khi đạo hàm các biểu thức chứa y.
Với hàm ngược, bạn có thể dùng quy tắc (f^{-1})'(x) = 1 / f'(f^{-1}(x)) nếu f khả vi và đơn điệu trên miền xét. Trong nhiều bài thi, cách gọn hơn là đổi vai trò x và y rồi đạo hàm ẩn, sau đó thay lại biến để có kết quả. Dù chọn cách nào, mục tiêu vẫn là giữ phép biến đổi rõ ràng để tránh nhầm điều kiện xác định.
Mũ, logarit và lượng giác thường gặp

Bảng đạo hàm và cách ghi nhớ nhanh
Ở nhóm hàm đặc biệt, Công thức đạo hàm thường được ghi thành bảng: (ex)’ = ex, (ax)’ = ax ln a, (ln x)’ = 1/x và (log_a x)’ = 1/(x ln a). Khi gặp dạng xx hoặc u(x){v(x)}, bạn nên nghĩ đến logarit hóa: đặt y = u^v, lấy ln hai vế để đưa mũ xuống, rồi mới đạo hàm theo dây chuyền. Nhờ vậy, bài toán được “kéo” về những quy tắc quen thuộc hơn.
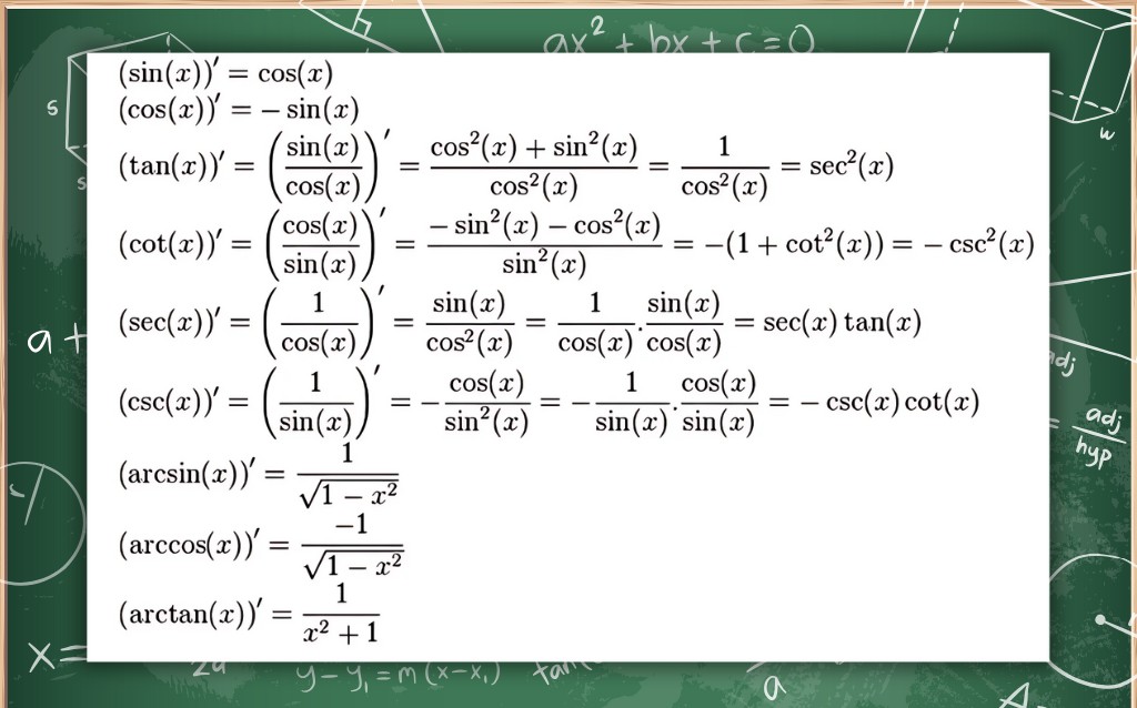
Với lượng giác, các kết quả cơ bản như (sin x)’ = cos x, (cos x)’ = −sin x, (tan x)’ = 1/cos^2 x là phần bạn cần luyện cho thật chắc trong hàm hợp. Chẳng hạn y = sin(3x+1) thì y’ = cos(3x+1)·3, còn y = ln(sin x) thì y’ = cos x / sin x. Công thức đạo hàm ở nhóm này dễ sai dấu hoặc sai hệ số, vì vậy bạn nên kiểm nhanh bằng cách thế vài giá trị x quen thuộc để xem dấu và độ lớn có hợp lý không.
Cách học, trình bày và tự kiểm tra
Lộ trình luyện tập để nhớ lâu, làm nhanh
Để học Công thức đạo hàm hiệu quả, bạn nên chia bài theo “mẫu hình” thay vì theo cảm tính: đa thức, phân thức, hàm hợp, logarit hóa và đạo hàm ẩn. Mỗi mẫu hình hãy làm vài bài từ dễ đến vừa, rồi tự rút ra bước chung: đặt biến phụ, áp dụng quy tắc, cuối cùng rút gọn. Khi đã quen tay, bạn có thể rút bớt dòng trung gian nhưng vẫn giữ được lập luận rõ xem thêm tại sevenam.
Một mẹo tự kiểm rất hữu ích là ước lượng: nếu y = x^n với n>1 thì y’ phải có bậc n−1 và tăng nhanh khi x lớn, còn y = 1/x thì y’ phải âm trên x>0. Công thức đạo hàm cũng có thể được soát bằng cách thế số đơn giản như x=1 hoặc x=2 (nếu hợp lệ) để kiểm dấu và sai hệ số. Duy trì thói quen kiểm tra này giúp bạn giảm lỗi “vặt” và làm bài tự tin hơn khi gặp đề lạ.




